무냐의 개발일지
938. Range Sum of BST 본문
👩💻 문제
Given the root node of a binary search tree and two integers low and high, return the sum of values of all nodes with a value in the inclusive range [low, high].
Example 1:

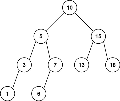
Input: root = [10,5,15,3,7,null,18], low = 7, high = 15
Output: 32
Explanation: Nodes 7, 10, and 15 are in the range [7, 15]. 7 + 10 + 15 = 32.
Example 2:

Input: root = [10,5,15,3,7,13,18,1,null,6], low = 6, high = 10
Output: 23
Explanation: Nodes 6, 7, and 10 are in the range [6, 10]. 6 + 7 + 10 = 23.
Constraints:
The number of nodes in the tree is in the range [1, 2 * 104].
1 <= Node.val <= 105
1 <= low <= high <= 105
All Node.val are unique.
💡 풀이 #1
class Solution:
def rangeSumBST(self, root: Optional[TreeNode], low: int, high: int) -> int:
res = []
def traversal(node): # 재귀적으로 트리를 순회하면서 주어진 범위 내에 있는 노드들의 값을 res 리스트에 추가
if node is None:
return
if low <= node.val <= high: #low, high 사이에 있는 값이면, 더해줘야하니까 append
res.append(node.val)
if low < node.val: #low보다 큰 값이면, 왼쪽에 있는 현재 노드보다 작은 값들 순회
traversal(node.left)
if node.val < high: #high보다 작은 값이면, 오른쪽에 있는 현재 노드보다 큰 값들 순회
traversal(node.right)
traversal(root)
return sum(res) #주어진 범위를 벗어나지 않은 값들만 합산
💡 풀이 #2
class Solution:
def rangeSumBST(self, root: Optional[TreeNode], low: int, high: int) -> int:
stack = [root] #root를 stack 형태로 만들어준다
range_sum = 0
while stack: #stack이 비어있지 않은 동안에
node = stack.pop() #stack의 마지막 값을 return한 값이 node이다
if node:
if low < node.val: #가장 위에 있는 값을 뽑아낸 node.val > low면 더 작은 값이면 왼쪽으로 순회한다
stack.append(node.left)
if node.val < high: #가장 위에 있는 값이 high보다 작으면 더 큰값인 오른쪽으로 순회한다
stack.append(node.right)
if low <= node.val <= high: # 그렇게 해서 크거나 같고, 작거나 같은 값을 만나면 드디어 그걸 더한다
range_sum += node.val
return range_sum
✍️ 해설
왼쪽은 더 작은 값, 오른쪽은 더 큰 값이 위치한다.
어쨌든 트리의 모든 노드를 순회하면서, 범위 내의 값을 찾을 것이기 때문에
low, high의 범위 내에서, low보다 크기만 하면 low와 같은 값도 있을 수 있기 때문에 왼쪽 자식노드(더 작은 값이 있는 쪽)으로 순회
high보다 작기만 하면 그 반대로 high와 같은 값이 있을수도 있는 오른쪽 자식 노드(더 큰 값이 있는 쪽)으로 순회
그러다 마침내 low보다 크거나 같고, high보다 작거나 같은 값을 마주치면, 그걸 최종 result에 더해준다
if node:
이 부분은 현재 노드가 None이 아닌지 확인하는 역할이다. None이면 자식노드도 당연히 없을거니까, 아무런 동작을 하지 않고 다음 노드를 처리하는 것.
🥳 배운점
이진트리의 전위, 중위, 후위 순회 중 편한 것으로 순회해야 한다는 점.
트리 구조를 코드하는 법을 처음 문제로 풀어보면서 배웠다.
node.val 이라고 쓰는구나! ?!
'LeetCode 코딩테스트' 카테고리의 다른 글
| 2114. Maximum Number of Words Found in Sentences (0) | 2024.04.13 |
|---|---|
| 1281. Subtract the Product and Sum of Digits of an Integer (0) | 2024.04.13 |
| [코딩테스트] sqrt 씌우기 (** 쓰지 않고), Deci-Binary더하기 숫자, 배열 더하기 (0) | 2024.04.11 |
| [코딩테스트] 파이썬 열이름 변경, 이진수 더하는 함수 구하기 (0) | 2024.04.10 |
| [코딩테스트] Queue 큐 _코딩테스트 (key, sorted) 키별로 사람 줄 세우기 문제 | List 정렬할 때 Key값 설정 & index함수 (0) | 2024.04.09 |